Product Roadmap (S)
See how Sweat utilized a customer-centric approach, involving developers and SMEs, to optimize roadmap decisions and align them with business goals.
OVERVIEW
See how Sweat utilized a customer-centric approach, involving developers and SMEs, to optimize roadmap decisions and align them with business goals.
01
Outcome
In Sweat I led the effort that shed light into how to homogenize roadmap element sizing and how to prioritize roadmap elements.
This gave the organization insights and decision making power on when to develop new features, or refine features the app currently has. It also help reduce organizational friction produced by unattended feature requests, and provided enough visibility about the decision making analysis that goes before the implementation of new features.
Process
Roadmap element sizing
Talking about roadmap items, one big problems that Sweat (or other companies for this matter) face is how heterogeneous maturity, complexity and effort are while jumping from one roadmap item to another.
For example; creating a share functionality can have multiple maturity levels, might be easy to develop, but it has multiple touch-points that have to be implemented – which makes it low complexity, but labor intensive.
On the other hand other items might, due to how abstract they are in the roadmap, become highly complex to get right, but once that complexity is understood, implementation is simple.
Roadmap element prioritization
In sweat I led the roadmap prioritization effort by:
- Making roadmap items atomic in terms of maturity and mapping them to the context in which they appear in the system.

- Prioritizing personas and using and cross-referencing them to roadmap items.
- Prioritizing business goals and cross-referencing them to roadmap items.
- Assessing each of the roadmap items in terms of complexity.

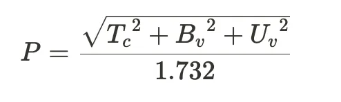
Since all items are organized relatively for each of the axes (Technical Complexity (Tc), User Value (Uv) and Business Value (Bv)) , and each item is a number between 0 and 1, we can determine that a Roadmap Item has a Priority (P), calculated with the following equation.

Such equation allows us to identify quick wins that the team can work on, to maximize the impact that the app has economically with the business and the the value we offer to users.
Of course business strategy, and especially deadlines, feature maturity and technical dependencies, can affect how we decide to prioritize the product roadmap. Nontheless, understanding the potential impact each roadmap items provides deeper understanding of 'why' that could be shared with the team.
Example
In Sweat, I used the example below to onboard developers and SMEs into the process. Orange sticky notes represent customer feedback or bugs, and canary yellow, represent new ideas.






Edgar held the role of UX and Design Manager at Sweat between 2017 – 2019 in Adelaide, SA.
RELATED CASE STUDIES